实验室在不同海拔地区高原鼠兔能量代谢研究方面取得新进展
高原鼠兔(Ochotona curzoniae)是青藏高原的特有物种,在维持高寒草甸生态系统的生物多样性和稳定性方面发挥着重要作用。高原鼠兔广泛分布在海拔3100-5300米的区域,很好地适应了极端缺氧、寒冷和食物匮乏的环境。以往的研究发现,栖息在不同海拔地区高原鼠兔的脂肪积累和代谢率存在差异,但其脂肪等组织中产热基因的表达差异及原因尚不清楚。
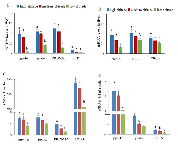
青海省动物生态基因组学重点实验室在不同海拔高度捕获高原鼠兔,测量了高原鼠兔的静止代谢率,并进一步测定其脂肪组织、肝脏和骨骼肌中的代谢产热相关基因的表达水平,研究转录调节在高海拔代谢适应中的作用。结果表明,高、中海拔地区高原鼠兔的体重、静止代谢率、非颤抖性产热等均显著高于低海拔地区。与此同时,高、中海拔地区高原鼠兔褐色脂肪组织中的UCP1蛋白表达量高于低海拔地区,白色和褐色脂肪组织中pgc-1α、pparα和PRDM16基因表达量亦显著高于低海拔地区。pgc-1α和pparα基因在高、中海拔地区高原鼠兔的肝脏中的表达量也明显高于低海拔地区,但CREB基因的表达量在不同海拔之间没有显著差异。高、中海拔地区高原鼠兔骨骼肌中pgc-1α、pparα和SLN基因量水平亦显著高于低海拔地区。该项研究证明高原鼠兔脂肪与肌肉组织相关产热基因的表达可以共同增加高原鼠兔非颤抖型产热以适应高原寒冷环境。
该研究结果以Differential expression of metabolism-related genes in plateau pika (Ochotona curzoniae) at different altitudes on the Qinghai–Tibet Plateau为题发表在Frontiers in Genetics(影响因子:4.599)上。硕士研究生朱红娟为论文第一作者,曲家鹏研究员为通讯作者。
该研究得到国家自然科学基金(31770459)、青海省自然科学基金(2021-ZJ-929)等项目资助。学科组依托中科院高原生物适应与进化重点实验室和青海省动物生态基因组学重点实验室。
论文链接:https://doi.org/10.3389/fgene.2021.784811
图1 不同海拔地区高原鼠兔不同组织的基因表达
图2 高原鼠兔不同组织能量代谢示意图



青公网安备 63010402000197号