实验室在八眉猪肠道菌群构建和代谢对食物纤维的响应研究中取得新进展
八眉猪(Sus scrofa)是青藏高原地区常见猪种,其消化粗纤维的能力(52.08%)显著高于野猪(45.72%)。八眉猪(♀)与杜洛克猪(♂)杂交后代二元杂交猪兼备了母本耐粗饲和父本生长周期短的优良特性,因此是研究食物纤维对肠道菌群影响最理想的模型动物。蚕豆是青海地区常见的农作物,蚕豆秸秆经青贮后可用作饲料。蚕豆秸秆中总纤维含量达56.45%,是典型的粗饲料。
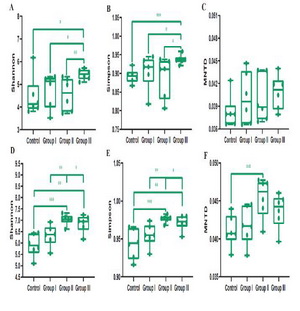
为探讨食物纤维对八眉猪肠道菌群结构及其代谢产物的影响,本研究将24头3月龄杜×八二元杂交猪随机分为四组,分别在基础日粮中添加10% ( GroupⅠ),20% (GroupⅡ),30% (GroupⅢ)的蚕豆青贮,饲喂90天后屠宰,收集空肠和盲肠内容物。采用16S rRNA测序和色谱-质谱联用(LC-MS)技术测定和分析微生物结构、功能及非靶向代谢物。结果发现,盲肠和空肠微生物多样性均随着食物纤维含量的增加而增加,且盲肠微生物响应更为明显(图1)。空肠微生物共现网络结构的复杂性随食物纤维的增加而增加(图1)。NST(normalized stochasticity ratio)指数结果表明,盲肠菌群的构建主要受随机性过程主导(图2)。低、中纤维组中的空肠菌群构建以随机过程为主,而高纤维组的构建则由确定性过程主导(图2)。空肠菌群的代谢产物氨基酸和结合性胆汁酸浓度显著高于盲肠的,而盲肠中的脂肪酸和游离胆汁酸的浓度高于空肠的,这可能与双歧杆菌、乳杆菌和链球菌在空肠中富集以及疣微菌属和Agathobacter在盲肠中富集有关(图3)。盲肠中脂肪酸、碳水化合物以及有机酸等的浓度随着食物纤维的增加而升高,与梭状芽孢杆菌和颤杆菌克属的丰度呈显著的正相关关系(图3)随着基础日粮中食物纤维比例的增加盲肠菌群代谢物发生显著性变化,但是空肠菌群的代谢物没有明显改变。
相关研究成果分别以Dietary fiber influences bacterial community assembly processes in the gut microbiota of Durco×Bamei crossbred pigs和Gastrointestinal tract and dietary fiber driven alterations of gut microbiota and metabolites in Durco×Bamei crossbred pigs为题发表在Frontiers in Microbiology (2区,IF = 5.640)和Frontiers in Nutrition(2区,IF = 6.576)上。小哺乳动物适应性进化与管理学科组博士研究生唐显江、在站博士后吴国芳分别为论文第一作者,助理研究员张良志为论文的共同第一作者,张堰铭研究员为论文通讯作者。
该研究得到青海省科技厅重点研发与转化计划(2021-QY-204)和“西部之光-联合学者”项目资助。学科组依托中科院高原生物适应与进化重点实验室和青海省动物生态基因组学重点实验室。
论文链接:https://www.frontiersin.org/articles/10.3389/fmicb.2021.688554/full
https://www.frontiersin.org/articles/10.3389/fnut.2021.806646/full

图1 不同食物纤维下,八眉猪空肠和盲肠肠道菌群多样性及共现网络结构的变化

图2 不同食物纤维下,八眉猪空肠和盲肠菌群群落构建方式的变化

图3八眉猪空肠和盲肠菌群代谢产物的差异

图4 不同食物纤维下,八眉猪盲肠微生物代谢产物的差异分析



青公网安备 63010402000197号