实验室在根田鼠种群调节研究方面取得新进展
在小型哺乳动物种群中,密度制约性繁殖可通过抑制种群繁殖而使种群波动趋于稳定。虽然已有大量研究表明,空间行为及社群行为不仅与密度制约性繁殖存在密切关联,而且被认为是引起密度制约性繁殖的主要行为机制,但是,迄今密度制约性繁殖的近因尚不清楚。对终生一胎类动物(如澳大利亚有袋类动物、北极地松鼠Spermophilus parryii plesius)或社会性合作繁殖动物(非洲鬣狗Lycaon pictus、灰狼Canis lupus)而言,由于一生只有一次繁殖机会或为了争夺配偶,优势个体往往具有较高的糖皮质激素水平和较高的繁殖成功率。然而,在终生多胎类动物(如田鼠类)种群中,由于一生有多次繁殖机会,对配偶的争夺并不表现出强烈的攻击行为,优势个体往往具有较低的糖皮质激素,且高密度种群可引起个体的应激反应。小型哺乳动物属于终生多胎类动物,当它们处于慢性应激状态时,糖皮质激素升高,且可通过生殖轴系而影响其繁殖。因此,对小型哺乳动物而言,密度应激导致的高糖皮质激素水平可能是引起种群密度制约性繁殖的重要因子。
为了验证该假设,中国科学院西北高原生物研究所小哺乳动物种群调节及鼠害生物防治学科组以根田鼠为研究对象,在野外大型封闭式围栏,通过建立高密度和低密度围栏种群,测定了不同密度处理个体的粪便皮质酮含量、种群补充率、繁殖状态比例及种群数量,以分析密度应激在密度制约性繁殖中的作用。
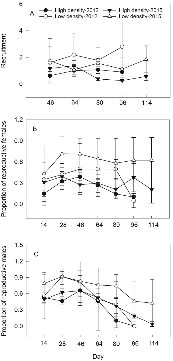
结果发现,在2年的重复实验期间,高密度围栏的种群数量始终显著高于低密度围栏的种群数量,且高密度围栏的种群补充率和繁殖状态比例均显著低于低密度围栏种群,而高密度围栏种群的粪便皮质酮含量显著高于低密度围栏种群,表现为种群密度与繁殖呈负相关,与粪便皮质酮呈正相关。通过构建结构方程模型发现,种群密度可通过个体粪便皮质酮水平而影响种群的补充率以及雄性个体的繁殖状态。
研究结果表明,高密度种群可通过应激反应而抑制种群繁殖,密度应激是小型哺乳动物种群产生密度制约性繁殖的重要因子。
相关论文Is negative density- dependent reproduction regulated by Density-induced stress in root voles? Two field experiments于2022年5月13日在ecology and evolution在线发表。尚国珍、堵守杨和杨彦宾为共同第一作者,边疆晖研究员和吴雁教授为通讯作者。该研究得到了国家自然科学基金面上项目(31870397、31800339、31570421)、青海省自然科学基金项目(2108-ZJ-906和2021-ZJ-945Q)和中国科学院战略性先导科技专项(A类)(XDA2005010406)的资助。学科组依托中科院高原生物适应与进化重点实验室和青海省动物生态基因组学重点实验室。
论文链接:https://onlinelibrary.wiley.com/doi/10.1002/ece3.8927

图1 2012年和2015年简建群者的种群密度

图2 2012年和2015年种群补充率(A)、雌性的繁殖状态比例(B)和雄性的繁殖状态比例(C)

图3 2012年和2015年建群者的重捕率

图4 结构方程模型分析结果

图5 2012年和2015建群者的FCM水平。数据已在之前的论文中发表(Bian et al.,2015;Yang et al., 2018)



青公网安备 63010402000197号