青藏高原植被恢复与药用资源繁育学科组在水-氮交互对高寒草原的影响方面取得初步进展
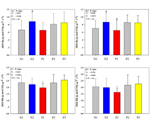
土壤呼吸是大气CO2通量的重要来源,并且对土壤养分和土壤含水量的变化敏感。目前已经对于大气氮沉降和降水变化对土壤呼吸的影响进行了广泛的研究,但很少有研究考虑到它们之间的相互作用对高寒草原土壤呼吸的影响。为了解决这些问题, 本实验在青藏高原高寒草原连续监测了三个生长季节并探究了N添加 (10 g N m-2 yr-1), 改变降水 (±50% 降雨), 及其交互作用对土壤呼吸及其组分(异养呼吸和自养呼吸)的影响。我们发现土壤呼吸对N添加和降水格局的响应不同, 在实验后两年减少降水导致土壤呼吸显著降低, 而N添加对土壤呼吸几乎没有影响。 另一个重要的发现是土壤呼吸组分对N添加和降水变化有不同的响应。氮添加显著增强了自养呼吸,但对异养呼吸影响不显著。相比之下,降水变化导致的异养呼吸发生了显著变化,而对自养呼吸的影响则略有显著。因此,我们的研究结果强调了土壤呼吸对于氮添加和降水变化的差异响应主要是由于土壤呼吸组分对他们的响应不同造成。 因此,碳动力学需要考虑全球变化情景下的土壤呼吸组分。

氮素添加和降水变化对土壤呼吸组分(Ra, Rh)的影响
该研究成果Differential responses of heterotrophic and autotrophic respiration to nitrogen addition and precipitation changes in a Tibetan alpine steppe近期在线发表在Scientific Reports。论文链接:www.nature.com/articles/s41598-018-34969-5。博士研究生李长斌为论文的第一作者,周国英研究员为通讯作者。该项研究得到了国家科技支撑计划项目 (2014BAC05B01),国家科技性工作专项 (2015FY11030001-5),中国科学院战略先导科技专项(XDA0505030304)的资助。



青公网安备 63010402000197号