母体密度应激和球虫寄生物在根田鼠越冬存活中的协同效应
发布时间:2018-10-25
小哺乳动物镶嵌在复杂的食物网中,其适合度及种群波动必然受多种因素的影响。就小哺乳动物而言,身体状况较差的个体更易感染病原体,而病原体的感染又进一步恶化宿主的身体状况使,继而使其更易感染病原体直至死亡。因此,免疫与感染之间的恶性循环可能是影响小哺乳动物种群波动的重要因素。
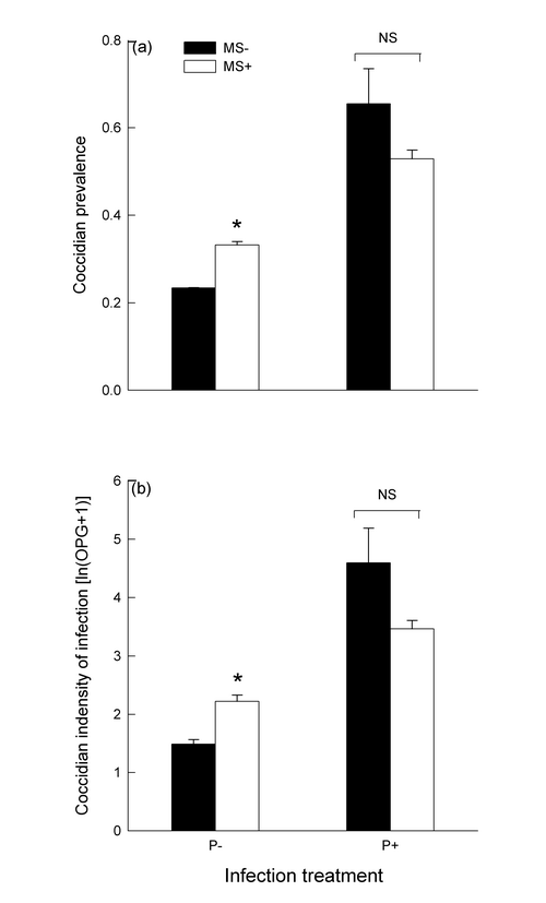
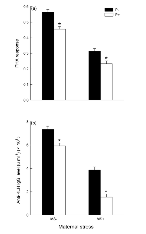
根田鼠是栖息于青藏高原的小哺乳动物。中国科学院西北高原生物研究所边疆晖课题组的研究发现,根田鼠母体的密度应激增加了其子代的应激反应,继而降低其免疫力,增加球虫感染。而球虫感染又进一步强化了上述效应,其结果恶化了子代的越冬存活并加速越冬种群的衰减。上述结果表明,母体的密度应激与寄生物感染可通过应激-宿主-寄生物间的相互作用降低宿主适合度及其越冬种群数量。作者进一步认为,种群调节的外部和内部因子,通过应激系统而产生的互作效应,是影响小哺乳动物种群衰减的重要限定因子。
该研究得到中国科学院A类战略先导科技专项“泛第三级环境变换与绿色丝绸之路建设”、国家重点研发计划“三江源区退化高寒生态系统恢复技术及示范”及青海省自然科学基金“母体应激与寄生物对根田鼠种群波动的耦合效应”等项目的资助。

封面









青公网安备 63010402000197号