高寒草地生物地球化学过程学科组揭示了高寒草地微生物群落特征对放牧强度响应及发生机制
放牧为青藏高原高寒草地重要利用方式,长期超载放牧是引起草地退化的主要原因。草地生态系统土壤质量是高寒草地生产力可持续利用的重要基质。健康的草地土壤具备较高的物种丰富度和生物多样性指数、活跃的生命体和高效的内部养分循环及较好的抗外界干扰能力。土壤微生物作为土壤系统中各种生物进程的主要推动者,对于草地碳氮养分循环和土壤健康状况具有重要指示作用。目前,有关长期放牧高寒草甸土壤微生物丰度及群落特征对不同放牧强度响应特征及发生机制尚不清晰。
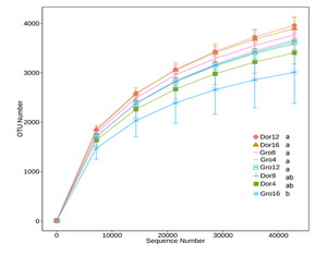
土壤细菌个体微小,代谢强烈、分裂繁殖速度快,是土壤中数量最多的微生物。该研究以不同退化程度高寒草甸生态系统为研究对象,基于细菌16SrDNA序列测序技术,分析轻度、中度、重度和极重度放牧高寒草地土壤微生物丰度和多样性指数与优势种群特征。耦合土壤理化性质和植被群落特征,解析影响放牧高寒草地微生物群落特征的发生机制。结果表明:极重度放牧显著降低高寒草地土壤微生物丰度和多样性指数(P<0.05)。生长季高寒草地土壤微生物基因丰度最高和最低值分别为3958 ± 119、3012 ± 447 拷贝数。中度放牧强度显著增加高寒草地生物多样性指数(图1)。土壤微生物区系组成复杂、种类极多,前三种微生物纲占比约为40.18 ± 2.09% (37.53% - 43.47%),分别为α-变形菌纲、待定酸杆菌纲、嗜热油菌纲(图2)。中度和重度放牧高寒草地占比明显高于轻度和极重度放牧样地。高寒草地可以鉴定到科水平微生物比重约为17.05%,未知水平达到82.95%,已知的主要科为芽单胞菌科、亚硝化单胞菌科、丛毛单胞菌科。中度和重度放牧样地芽单胞菌科数量明显高于轻度和极重度放牧样地。基于典型相关分析发现土壤容重、pH值、铵态氮和硝态氮是影响高寒草地土壤微生物群落特征的重要因素。蒙特卡洛检验结果表明pH值和土壤容重为影响高寒草地土壤微生物纲水平(P<0.001, r=0.29)和科水平(P<0.05, r=0.24)群落特征的重要因素。综上,中等放牧利用强度有利于提升高寒草地土壤微生物丰度和多样性。
研究结果于2020年7月以Moderate grazing increased alpine meadow soils bacterial abundance and diversity index on the Tibetan Plateau为题发表在生态学期刊Ecology and Evolution。该研究得到了国家自然科学基金面上项目(31770532)和重点基金(41730752),以及中科院西部之光西部青年学者A类项目资助。杜岩功研究员为该论文第一作者,郭小伟高级工程师和曹广民研究员为通讯作者。
论文链接:https://onlinelibrary.wiley.com/doi/10.1002/ece3.6563


图1 高寒草地土壤微生物丰度和多样性指数对不同放牧强度的响应特征


图2 不同放牧高寒草地土壤纲与科水平微生物群落特征及主要影响因素解析



青公网安备 63010402000197号