高寒生态系统与全球变化学科组在温带阔叶落叶树种叶片性状季节变化预测研究中取得进展
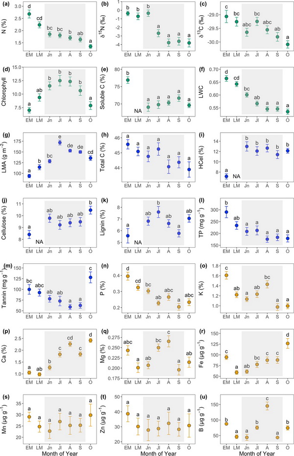
植物功能性状是植物在形态、生理和化学等方面的属性或特征,反映了植物对其生长环境的长期适应。在生态与进化学研究中,植物性状不仅用来衡量植物个体的适合度或表现,探究群落构建的机制,而且植物性状及其多样性(即,功能多样性)还可以用来预测生态系统(多)功能和服务。因此,植物性状及其多样性是当前生态学研究的前沿热点之一。植物性状不仅在种内、种间产生变异,而且在时空尺度上也会发生较大的变化;同时,植物性状的测定也常常是费时、费力且成本较高。所以,在当前全球变化对生态系统功能和服务产生深远影响的背景下,如何更好地预测植物性状的变化是当前急需解决的重要科学问题之一。面对这一问题,基于高光谱(Hyper-spectroscopy, 350-2500 nm可见光-近远红外波段)的统计模型(Partial least-squares regression, PLSR)常常用来预测植物性状的变化。尽管以往的许多研究表明了叶片高光谱特征可以很好地预测植物叶片性状的变异,但是这些研究没有考虑植物性状的季节性变化,尤其是在季节明显的温带地区。因此,我们不清楚叶片光谱特征是否可以准确地预测叶片性状的季节性变异。为此,我们以英国8种常见的温带阔叶落叶树种为研究对象,测定了21个叶片性状和叶片光谱特征的季节性变化,研究了叶片光谱特征是否可以成功地捕获叶片性状的季节性变异。
研究结果表明:(1)大部分叶片性状和叶片光谱特征呈现出显著的季节性变化,尽管成熟叶片的变异程度较小;(2)重要的是,叶片光谱特征可以准确地预测大部分叶片性状的季节性变异,而且成熟叶片的预测准确度较高;(3)对于某几个性状,PLSR模型预测准确度受到物种的影响,因此PLSR模型不能在单一物种水平准确度预测叶片性状的季节性变化。我们的研究结果为基于遥感高光谱图像(Hyperspectral imaging)的大尺度植物性状及其多样性的研究、制图和长期监测奠定了坚实的基础。
本研究成果以Predicting leaf traits of temperate broadleaf deciduous trees from hyperspectral reflectance: can a general model be applied across a growing season?为题,发表在Remote Sensing of Environment上。西北高原所陈立同副研究员为论文第一作者,英国剑桥大学植物科学系David A. Coomes教授为通讯联系人。本研究工作得到了国家留学基金委公派留学项目(CSC No. 201604910438)的支持。
论文链接:https://www.sciencedirect.com/science/article/pii/S0034425721004879

图1 21个叶片性状的季节性变化

图2 叶片光谱特征(反射率,Reflectance)的季节性变化



青公网安备 63010402000197号