动物生态与资源保护研究团队在人兽冲突研究中取得新进展
在陆地生态系统中,大型哺乳类食肉动物往往处于食物链(网)的最高营养级,它们通过营养级联效应直接或间接影响各营养级生物的种群丰度和多度,从而在维持群落结构和物种多样性上发挥着重要作用,深刻影响生态系统的功能表达。然而,由于繁殖成功率低、能量需求高、家域面积大等特殊的生物学特性,大型食肉动物的种群密度相对较低,在局部地区极易灭绝。同时,由于大型食肉动物的专性肉食性特征,在其与人类共存的区域,通常会爆发严重的人兽冲突,三江源国家公园也不例外。近年来,三江源国家公园内由于雪豹(Panthera uncia)、狼(Canis lupus)、棕熊(Ursus arctos)等大型食肉动物捕食家畜导致的人兽冲突愈演愈烈,不仅影响当地牧民的生计生活,也影响着生态环境和野生动物保护工作的深入施行。
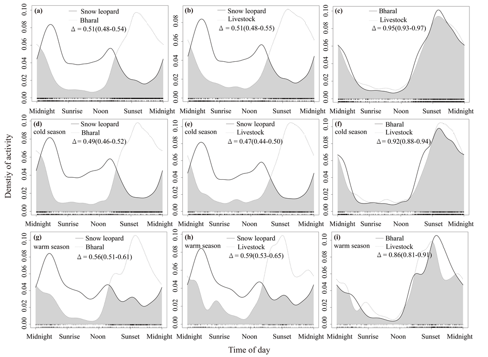
中国科学院西北高原生物研究所动物生态与资源保护研究团队以人兽冲突较为严重的曲麻莱县巴干乡为研究地区,利用调查问卷评估了当地牧民对雪豹袭击家畜事件的态度,并结合红外相机陷阱技术获得了雪豹和其主要猎物岩羊(Pseudois nayaur)以及散养家畜的影像资料,进而探讨了三种(类)动物的时空重叠。研究结果表明: (1)雪豹主要在夜间捕食家畜,牧民因雪豹袭击家畜事件的发生而对雪豹保护持消极态度;(2)岩羊和家畜的空间利用重叠度最高(OI = 0.78),其次是雪豹和岩羊(OI = 0.75)以及雪豹和家畜(OI = 0.75);(3)雪豹属于典型的夜行性动物,而岩羊和家畜以昼间活动为主。岩羊和家畜的日活动节律模式高度一致,时间重叠指数最高(D = 0.95),而雪豹和岩羊、雪豹和家畜的日活动节律重叠指数较低(D = 0.51),且重叠时段主要集中于夜间。综上所述,由于雪豹、岩羊和散养家畜之间存在较高的空间重叠,可能增加了家畜被雪豹捕食的机会,同时,家畜和岩羊活动节律的高度重叠进一步加剧了此类事件的发生几率。基于研究结果,我们提出了针对性的保护和管理措施,例如规范放牧区域以减小家畜与雪豹的相遇几率,加强对散养家畜的夜间管理以减少雪豹夜间肇事等。
研究论文以Spatiotemporal overlap among snow leopard, bharal, and free-ranging livestock: Suggestions on mitigating human-snow leopard conflict为题发表在Global Ecology and Conservation期刊(环境科学与生态学二区)。博士研究生王东为第一作者,连新明研究员为通讯作者。该研究得到了国家重点研发计划(2023YFF1305000)和中国科学院“西部之光”等项目的资助和支持。
论文链接: https://www.sciencedirect.com/science/article/pii/S2351989424002336

雪豹、岩羊和家畜的空间重叠

雪豹、岩羊和家畜的活动时间重叠



青公网安备 63010402000197号