“基于高速逆流色谱技术,采用新型乙酸乙酯-冰醋酸-水系统分离唐古特大黄中三种极性化合物”一文在Journal of Separation Science上发表
高速逆流色谱为不含固体作固定相的液-液分配色谱技术,解决了传统柱色谱中存在的样品死吸附问题,近年来被广泛应用于天然产物的分离中。然而,由于高速逆流色谱分离柱理论塔板数较低,导致其适宜分离的化合物为中等极性化合物,对于极性和非极性化合物的分离存在很大困难。文章作者陈涛等通过对溶剂系统的优化,成功利用高速逆流色谱从唐古特大黄中分离得到了三种极性化合物,为高速逆流色谱分离极性化合物提供了参考。
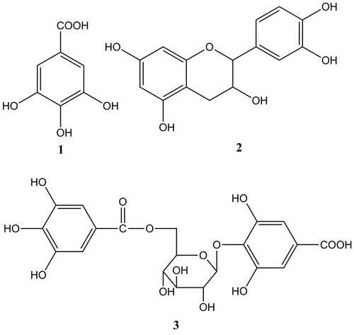
本研究首先通过大孔树脂技术成功富集了三种极性化合物。研究发现,采用常规溶剂系统进行分配系数摸索时,三种极性化合物均分布在水相,无法得到合适的分配系数。考虑到极性化合物可能为多羟基或含羧基化合物,本研究在常规乙酸乙酯-水系统里添加冰醋酸测试目标化合物的分配情况。结果表明,目标化合物对冰醋酸较为敏感。在采用乙酸乙酯-冰醋酸-水(100:1:100,v:v)为溶剂系统时,目标化合物可以获得理想的分配系数和分离因子,并且非目标化合物集中分配在了水相。最终,本研究通过高速逆流色谱,以乙酸乙酯-冰醋酸-水(100:1:100,v:v)为溶剂系统成功分离得倒了三种极性化合物,分别为没食子酸, 儿茶素, 和没食子酸4-O-β-D-(6′-O-没食子酰)-葡萄糖苷,印证了前期对目标化合物结构的猜想。

图1 高速逆流色谱分离图

图2 目标化合物结构式



青公网安备 63010402000197号